Southern California Mesh https://socalmesh.org/
Real time data from around the OC area
Quick Links:   Nodes -  Conversations -  See everything -  Map -  Stats -  Top Traffic

Sage

Misusage2

NodeID
!d3def5ba
Channel
LongFast
HW Model
RAK4631
Role
CLIENT
Get node traffic totals
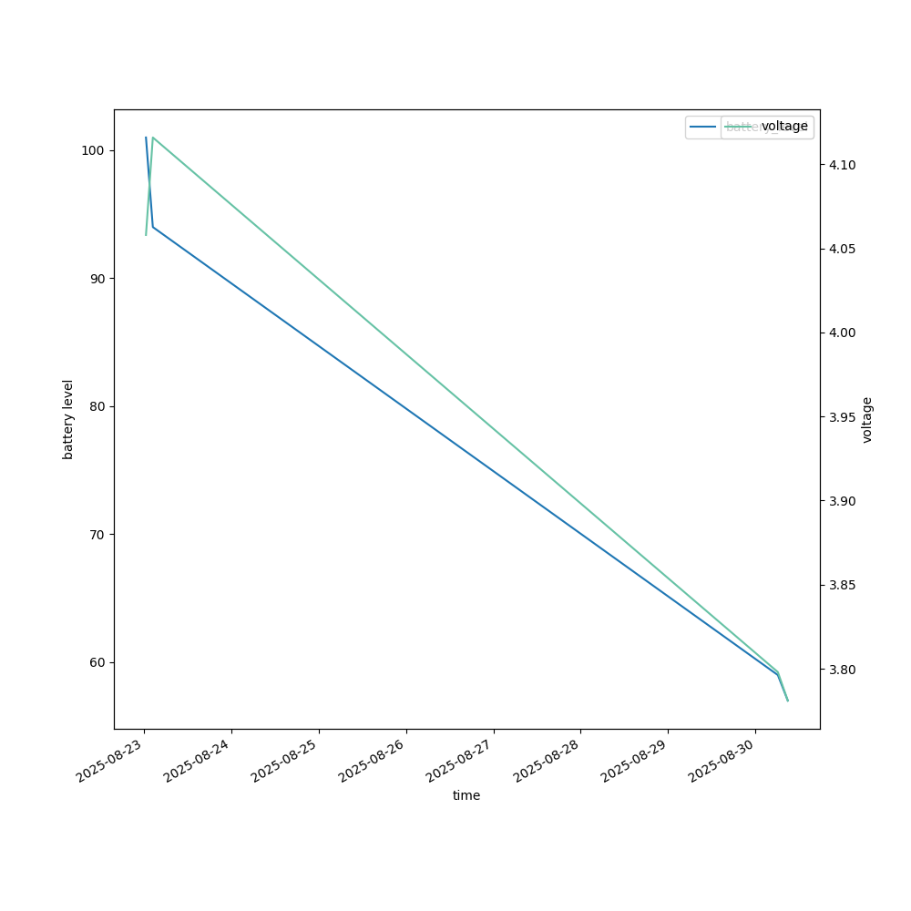
Battery
ChUtil
Temperature
Humidity
Pressure
Indoor Air Quality
Wind Speed
Wind Direction
Power Metrics
Misusage2(!d3def5ba) (^all)
351063974 🔎
Import Time
8:56:14 AM - 10-05-2025
packet
from: 3554604474
to: 4294967295
channel: 8
decoded {
  portnum: NODEINFO_APP
}
id: 351063974
rx_time: 1759654573
rx_snr: 1.0
hop_limit: 2
rx_rssi: -82
hop_start: 4
payload
id: "!d3def5ba"
long_name: "Misusage2"
short_name: "Sage"
macaddr: "\355\003\323\336\365\272"
hw_model: RAK4631
public_key: "\250\343\361)\262\364\024\213:\331\275`\023Q_f\\\226\3109\313\275\320Y\275-\0168\322 \357@"
Misusage2(!d3def5ba) (^all)
1620236192 🔎
Import Time
3:05:30 AM - 10-05-2025
packet
from: 3554604474
to: 4294967295
channel: 8
decoded {
  portnum: TELEMETRY_APP
  bitfield: 0
}
id: 1620236192
rx_time: 1759633529
rx_snr: -6.25
hop_limit: 1
rx_rssi: -91
hop_start: 4
relay_node: 80
payload
time: 1759633515
device_metrics {
  battery_level: 43
  voltage: 3.661
  channel_utilization: 20.688334
  air_util_tx: 1.9200834
  uptime_seconds: 205784
}
Misusage2(!d3def5ba) (^all)
3604496285 🔎
Import Time
11:09:23 PM - 10-04-2025
packet
from: 3554604474
to: 4294967295
channel: 8
decoded {
  portnum: TELEMETRY_APP
}
id: 3604496285
rx_time: 1759619362
rx_snr: -19.25
hop_limit: 1
rx_rssi: -107
hop_start: 4
payload
time: 1759619355
device_metrics {
  battery_level: 48
  voltage: 3.704
  channel_utilization: 21.878334
  air_util_tx: 2.4068334
  uptime_seconds: 191624
}
Misusage2(!d3def5ba) (^all)
1141712792 🔎
Import Time
2:56:17 PM - 10-04-2025
packet
from: 3554604474
to: 4294967295
channel: 8
decoded {
  portnum: NODEINFO_APP
}
id: 1141712792
rx_time: 1759589776
rx_snr: -0.75
hop_limit: 1
rx_rssi: -91
hop_start: 4
payload
id: "!d3def5ba"
long_name: "Misusage2"
short_name: "Sage"
macaddr: "\355\003\323\336\365\272"
hw_model: RAK4631
public_key: "\250\343\361)\262\364\024\213:\331\275`\023Q_f\\\226\3109\313\275\320Y\275-\0168\322 \357@"
Misusage2(!d3def5ba) (^all)
1663697811 🔎
Import Time
8:56:20 AM - 10-04-2025
packet
from: 3554604474
to: 4294967295
channel: 8
decoded {
  portnum: NODEINFO_APP
}
id: 1663697811
rx_time: 1759568179
rx_snr: 0.75
rx_rssi: -83
hop_start: 4
payload
id: "!d3def5ba"
long_name: "Misusage2"
short_name: "Sage"
macaddr: "\355\003\323\336\365\272"
hw_model: RAK4631
public_key: "\250\343\361)\262\364\024\213:\331\275`\023Q_f\\\226\3109\313\275\320Y\275-\0168\322 \357@"
KG6LIN1(!4358a6f0) Misusage2(!d3def5ba)
1683254455 🔎
Import Time
5:29:31 AM - 10-04-2025
packet
from: 1129883376
to: 3554604474
channel: 8
decoded {
  portnum: NODEINFO_APP
  want_response: true
}
id: 1683254455
rx_time: 1759555771
rx_snr: -2.25
hop_limit: 1
rx_rssi: -89
hop_start: 3
payload
id: "!4358a6f0"
long_name: "KG6LIN1"
short_name: "PHW1"
macaddr: "H\312CX\246\360"
hw_model: HELTEC_V3
is_licensed: true
KM6MCI NODE 16 🦜(!dccf6044) Misusage2(!d3def5ba)
186048574 🔎
Import Time
5:29:11 AM - 10-04-2025
packet
from: 3704578116
to: 3554604474
channel: 8
decoded {
  portnum: NODEINFO_APP
  want_response: true
}
id: 186048574
rx_time: 1759555750
rx_snr: 4.25
hop_limit: 7
rx_rssi: -84
hop_start: 7
payload
id: "!dccf6044"
long_name: "KM6MCI NODE 16 🦜"
short_name: "ROOF"
macaddr: "\304\366\334\317`D"
hw_model: RAK4631
East Ventura(!84fd924a) Misusage2(!d3def5ba)
909112254 🔎
Import Time
10:21:22 PM - 10-03-2025
packet
from: 2231210570
to: 3554604474
channel: 8
decoded {
  portnum: NODEINFO_APP
  want_response: true
}
id: 909112254
rx_time: 1759530081
rx_snr: -8.75
hop_limit: 1
rx_rssi: -94
hop_start: 4
payload
id: "!84fd924a"
long_name: "East Ventura"
short_name: "EVTA"
macaddr: "\334\262\204\375\222J"
hw_model: RAK4631
Misusage2(!d3def5ba) Meshtastic 0b54(!a2e50b54)
2427374468 🔎
Import Time
3:09:49 PM - 10-03-2025
packet
from: 3554604474
to: 2732919636
channel: 8
decoded {
  portnum: NODEINFO_APP
  request_id: 2852646365
  bitfield: 0
}
id: 2427374468
rx_time: 1759504189
rx_snr: 6.25
rx_rssi: -27
hop_start: 3
relay_node: 42
payload
id: "!d3def5ba"
long_name: "Misusage2"
short_name: "Sage"
macaddr: "\355\003\323\336\365\272"
hw_model: RAK4631
public_key: "\250\343\361)\262\364\024\213:\331\275`\023Q_f\\\226\3109\313\275\320Y\275-\0168\322 \357@"
Misusage2(!d3def5ba) (^all)
2192995203 🔎
Import Time
3:03:35 PM - 10-03-2025
packet
from: 3554604474
to: 4294967295
channel: 8
decoded {
  portnum: TELEMETRY_APP
}
id: 2192995203
rx_time: 1759503815
rx_snr: -13.25
rx_rssi: -101
hop_start: 4
payload
time: 1759503771
device_metrics {
  battery_level: 70
  voltage: 3.898
  channel_utilization: 23.49
  air_util_tx: 2.0792778
  uptime_seconds: 76040
}
Misusage2(!d3def5ba) (^all)
2599216002 🔎
Import Time
2:56:52 PM - 10-03-2025
packet
from: 3554604474
to: 4294967295
channel: 8
decoded {
  portnum: NODEINFO_APP
  bitfield: 0
}
id: 2599216002
rx_time: 1759503412
rx_snr: -19.0
rx_rssi: -88
hop_start: 4
relay_node: 80
payload
id: "!d3def5ba"
long_name: "Misusage2"
short_name: "Sage"
macaddr: "\355\003\323\336\365\272"
hw_model: RAK4631
public_key: "\250\343\361)\262\364\024\213:\331\275`\023Q_f\\\226\3109\313\275\320Y\275-\0168\322 \357@"
Misusage2(!d3def5ba) (^all)
1822226305 🔎
Import Time
11:56:48 AM - 10-03-2025
packet
from: 3554604474
to: 4294967295
channel: 8
decoded {
  portnum: NODEINFO_APP
  bitfield: 0
}
id: 1822226305
rx_time: 1759492604
rx_snr: 5.5
rx_rssi: -62
hop_start: 4
relay_node: 210
payload
id: "!d3def5ba"
long_name: "Misusage2"
short_name: "Sage"
macaddr: "\355\003\323\336\365\272"
hw_model: RAK4631
public_key: "\250\343\361)\262\364\024\213:\331\275`\023Q_f\\\226\3109\313\275\320Y\275-\0168\322 \357@"
Misusage2(!d3def5ba) (^all)
2396644224 🔎
Import Time
11:54:11 AM - 10-03-2025
packet
from: 3554604474
to: 4294967295
channel: 8
decoded {
  portnum: TELEMETRY_APP
  bitfield: 0
}
id: 2396644224
rx_time: 1759492451
rx_snr: -6.75
hop_limit: 1
rx_rssi: -89
hop_start: 4
relay_node: 80
payload
time: 1759492429
device_metrics {
  battery_level: 73
  voltage: 3.927
  channel_utilization: 22.835
  air_util_tx: 1.7580556
  uptime_seconds: 64698
}
Misusage2(!d3def5ba) mmca T1KE(!dd7b5b2b)
3930896275 🔎
Import Time
12:11:16 PM - 09-19-2025
packet
from: 3554604474
to: 3715849003
channel: 8
decoded {
  portnum: ROUTING_APP
  request_id: 3953115914
  bitfield: 0
}
id: 3930896275
rx_time: 1758283872
rx_snr: -19.25
hop_limit: 1
rx_rssi: -90
hop_start: 5
payload
error_reason: NO_RESPONSE
Meshtastic dc7f(!72c5dc7f) Misusage2(!d3def5ba)
2504500080 🔎
Import Time
10:52:34 AM - 09-19-2025
packet
from: 1925569663
to: 3554604474
channel: 8
decoded {
  portnum: NODEINFO_APP
  want_response: true
  bitfield: 3
}
id: 2504500080
rx_time: 1758279149
rx_snr: -12.75
hop_limit: 6
rx_rssi: -112
hop_start: 7
payload
id: "!72c5dc7f"
long_name: "Meshtastic dc7f"
short_name: "dc7f"
macaddr: "\304\214r\305\334\177"
hw_model: RAK4631
public_key: "2\223\023eEA\203\203y\225\343\220\376\226I\202\024$\371\274q\\\235\372\345\277\316\327\330\352\264J"
OxnardRouter(!1ccc48c4) Misusage2(!d3def5ba)
198365277 🔎
Import Time
4:18:50 AM - 09-19-2025
packet
from: 483150020
to: 3554604474
channel: 8
decoded {
  portnum: NODEINFO_APP
  want_response: true
}
id: 198365277
rx_time: 1758255529
rx_snr: -9.0
rx_rssi: -91
payload
id: "!1ccc48c4"
long_name: "OxnardRouter"
short_name: "OXNR"
macaddr: "\372\322\034\314H\304"
hw_model: RAK4631
role: ROUTER
Misusage2(!d3def5ba) KM6MCI ROUTER 1 🦜(!ee9aa9af)
2356734582 🔎
Import Time
10:08:35 AM - 08-31-2025
packet
from: 3554604474
to: 4003113391
channel: 8
decoded {
  portnum: NODEINFO_APP
  request_id: 1331471725
}
id: 2356734582
rx_time: 1756634912
rx_snr: -17.25
rx_rssi: -90
hop_start: 4
payload
id: "!d3def5ba"
long_name: "Misusage2"
short_name: "Sage"
macaddr: "\355\003\323\336\365\272"
hw_model: RAK4631
public_key: "\250\343\361)\262\364\024\213:\331\275`\023Q_f\\\226\3109\313\275\320Y\275-\0168\322 \357@"
OxnardRouter(!1ccc48c4) Misusage2(!d3def5ba)
1690996797 🔎
Import Time
7:27:55 PM - 08-30-2025
packet
from: 483150020
to: 3554604474
channel: 8
decoded {
  portnum: NODEINFO_APP
  want_response: true
}
id: 1690996797
rx_time: 1756582074
rx_snr: -10.75
rx_rssi: -99
payload
id: "!1ccc48c4"
long_name: "OxnardRouter"
short_name: "OXNR"
macaddr: "\372\322\034\314H\304"
hw_model: RAK4631
role: ROUTER
Misusage2(!d3def5ba) KM6MCI ROUTER 2 🦜(!2f4bbd8)
420019459 🔎
Import Time
7:27:52 PM - 08-30-2025
packet
from: 3554604474
to: 49593304
channel: 8
decoded {
  portnum: NODEINFO_APP
  request_id: 1862180752
}
id: 420019459
rx_time: 1756582071
rx_snr: -10.25
rx_rssi: -100
hop_start: 3
payload
id: "!d3def5ba"
long_name: "Misusage2"
short_name: "Sage"
macaddr: "\355\003\323\336\365\272"
hw_model: RAK4631
public_key: "\250\343\361)\262\364\024\213:\331\275`\023Q_f\\\226\3109\313\275\320Y\275-\0168\322 \357@"
KM6MCI ROUTER 2 🦜(!2f4bbd8) Misusage2(!d3def5ba)
1862180752 🔎
Import Time
7:27:40 PM - 08-30-2025
packet
from: 49593304
to: 3554604474
channel: 8
decoded {
  portnum: NODEINFO_APP
  want_response: true
}
id: 1862180752
rx_time: 1756582059
rx_snr: -18.25
hop_limit: 5
rx_rssi: -106
hop_start: 6
payload
id: "!02f4bbd8"
long_name: "KM6MCI ROUTER 2 🦜"
short_name: "OLVE"
macaddr: "\320\277\002\364\273\330"
hw_model: RAK4631
role: ROUTER
Mount Bliss Base(!79cd256c) Misusage2(!d3def5ba)
1521551571 🔎
Import Time
7:27:31 PM - 08-30-2025
packet
from: 2043487596
to: 3554604474
channel: 8
decoded {
  portnum: NODEINFO_APP
  want_response: true
}
id: 1521551571
rx_time: 1756582052
rx_snr: 3.75
hop_limit: 1
rx_rssi: -103
hop_start: 3
relay_node: 16
payload
id: "!79cd256c"
long_name: "Mount Bliss Base"
short_name: "MBB"
macaddr: "\341\361y\315%l"
hw_model: RAK4631
Misusage2(!d3def5ba) (^all)
3747331326 🔎
Import Time
1:33:11 PM - 08-30-2025
packet
from: 3554604474
to: 4294967295
channel: 8
decoded {
  portnum: NODEINFO_APP
  bitfield: 0
}
id: 3747331326
rx_time: 1756560789
rx_snr: -13.75
rx_rssi: -86
hop_start: 3
payload
id: "!d3def5ba"
long_name: "Misusage2"
short_name: "Sage"
macaddr: "\355\003\323\336\365\272"
hw_model: RAK4631
public_key: "\250\343\361)\262\364\024\213:\331\275`\023Q_f\\\226\3109\313\275\320Y\275-\0168\322 \357@"
Misusage2(!d3def5ba) (^all)
3925297400 🔎
Import Time
8:51:32 AM - 08-30-2025
packet
from: 3554604474
to: 4294967295
channel: 8
decoded {
  portnum: TELEMETRY_APP
  bitfield: 0
}
id: 3925297400
rx_time: 1756543890
rx_snr: -16.5
rx_rssi: -90
hop_start: 3
relay_node: 163
payload
time: 1756543857
device_metrics {
  battery_level: 57
  voltage: 3.781
  channel_utilization: 18.463333
  air_util_tx: 2.0784168
  uptime_seconds: 112773
}
KM6MCI ROUTER 2 🦜(!2f4bbd8) Misusage2(!d3def5ba)
1862180607 🔎
Import Time
8:51:24 AM - 08-30-2025
packet
from: 49593304
to: 3554604474
channel: 8
decoded {
  portnum: NODEINFO_APP
  want_response: true
}
id: 1862180607
rx_time: 1756543883
rx_snr: -2.75
hop_limit: 5
rx_rssi: -93
hop_start: 6
payload
id: "!02f4bbd8"
long_name: "KM6MCI ROUTER 2 🦜"
short_name: "OLVE"
macaddr: "\320\277\002\364\273\330"
hw_model: RAK4631
role: ROUTER
Misusage2(!d3def5ba) (^all)
2158355701 🔎
Import Time
6:07:35 AM - 08-30-2025
packet
from: 3554604474
to: 4294967295
channel: 8
decoded {
  portnum: TELEMETRY_APP
  bitfield: 0
}
id: 2158355701
rx_time: 1756534052
rx_snr: -17.5
rx_rssi: -90
hop_start: 3
relay_node: 163
payload
time: 1756534013
device_metrics {
  battery_level: 59
  voltage: 3.798
  channel_utilization: 23.483334
  air_util_tx: 1.6057779
  uptime_seconds: 102929
}
Meshtastic dc7f(!72c5dc7f) Misusage2(!d3def5ba)
382990745 🔎
Import Time
2:38:02 AM - 08-30-2025
packet
from: 1925569663
to: 3554604474
channel: 8
decoded {
  portnum: NODEINFO_APP
  want_response: true
  bitfield: 3
}
id: 382990745
rx_time: 1756521479
rx_snr: -12.75
hop_limit: 6
rx_rssi: -111
hop_start: 7
payload
id: "!72c5dc7f"
long_name: "Meshtastic dc7f"
short_name: "dc7f"
macaddr: "\304\214r\305\334\177"
hw_model: RAK4631
public_key: "2\223\023eEA\203\203y\225\343\220\376\226I\202\024$\371\274q\\\235\372\345\277\316\327\330\352\264J"
KM6MCI ROUTER 2 🦜(!2f4bbd8) Misusage2(!d3def5ba)
1862180429 🔎
Import Time
8:13:09 PM - 08-29-2025
packet
from: 49593304
to: 3554604474
channel: 8
decoded {
  portnum: NODEINFO_APP
  want_response: true
}
id: 1862180429
rx_time: 1756498388
rx_snr: -11.25
hop_limit: 4
rx_rssi: -97
hop_start: 6
payload
id: "!02f4bbd8"
long_name: "KM6MCI ROUTER 2 🦜"
short_name: "OLVE"
macaddr: "\320\277\002\364\273\330"
hw_model: RAK4631
role: ROUTER
Misusage2(!d3def5ba) (^all)
483264748 🔎
Import Time
7:32:35 PM - 08-29-2025
packet
from: 3554604474
to: 4294967295
channel: 8
decoded {
  portnum: NODEINFO_APP
}
id: 483264748
rx_time: 1756495954
rx_snr: -7.5
rx_rssi: -94
hop_start: 3
payload
id: "!d3def5ba"
long_name: "Misusage2"
short_name: "Sage"
macaddr: "\355\003\323\336\365\272"
hw_model: RAK4631
public_key: "\250\343\361)\262\364\024\213:\331\275`\023Q_f\\\226\3109\313\275\320Y\275-\0168\322 \357@"
East Ventura(!84fd924a) Misusage2(!d3def5ba)
905790745 🔎
Import Time
10:16:14 AM - 08-29-2025
packet
from: 2231210570
to: 3554604474
channel: 8
decoded {
  portnum: NODEINFO_APP
  want_response: true
}
id: 905790745
rx_time: 1756462573
rx_snr: -0.5
hop_limit: 1
rx_rssi: -93
hop_start: 4
payload
id: "!84fd924a"
long_name: "East Ventura"
short_name: "EVTA"
macaddr: "\334\262\204\375\222J"
hw_model: RAK4631
Mount Bliss Base(!79cd256c) Misusage2(!d3def5ba)
235567875 🔎
Import Time
6:19:58 AM - 08-29-2025
packet
from: 2043487596
to: 3554604474
channel: 8
decoded {
  portnum: NODEINFO_APP
  want_response: true
}
id: 235567875
rx_time: 1756448396
rx_snr: -14.5
hop_limit: 2
rx_rssi: -89
hop_start: 3
relay_node: 163
payload
id: "!79cd256c"
long_name: "Mount Bliss Base"
short_name: "MBB"
macaddr: "\341\361y\315%l"
hw_model: RAK4631
KM6MCI ROUTER 2 🦜(!2f4bbd8) Misusage2(!d3def5ba)
1862180236 🔎
Import Time
6:19:53 AM - 08-29-2025
packet
from: 49593304
to: 3554604474
channel: 8
decoded {
  portnum: NODEINFO_APP
  want_response: true
}
id: 1862180236
rx_time: 1756448392
rx_snr: -10.5
hop_limit: 4
rx_rssi: -102
hop_start: 6
payload
id: "!02f4bbd8"
long_name: "KM6MCI ROUTER 2 🦜"
short_name: "OLVE"
macaddr: "\320\277\002\364\273\330"
hw_model: RAK4631
role: ROUTER
KM6MCI NODE 9 🦜(!33698fd4) Misusage2(!d3def5ba)
588924416 🔎
Import Time
6:19:38 AM - 08-29-2025
packet
from: 862556116
to: 3554604474
channel: 8
decoded {
  portnum: NODEINFO_APP
  want_response: true
}
id: 588924416
rx_time: 1756448377
rx_snr: 3.5
hop_limit: 5
rx_rssi: -86
hop_start: 6
payload
id: "!33698fd4"
long_name: "KM6MCI NODE 9 🦜"
short_name: "🦅"
macaddr: "d\3503i\217\324"
hw_model: HELTEC_V3
role: CLIENT_MUTE
Misusage2(!d3def5ba) (^all)
1387159088 🔎
Import Time
6:19:30 AM - 08-29-2025
packet
from: 3554604474
to: 4294967295
channel: 8
decoded {
  portnum: TEXT_MESSAGE_APP
  reply_id: 561745430
}
id: 1387159088
rx_time: 1756448369
rx_snr: -12.5
rx_rssi: -105
hop_start: 3
payload
Wassup 
😈 Null Space Skicka(!75e1c1bc) Misusage2(!d3def5ba)
506342383 🔎
Import Time
4:21:51 AM - 08-29-2025
packet
from: 1977729468
to: 3554604474
channel: 8
decoded {
  portnum: NODEINFO_APP
  want_response: true
}
id: 506342383
rx_time: 1756441311
rx_snr: -5.5
hop_limit: 3
rx_rssi: -96
hop_start: 6
payload
id: "!75e1c1bc"
long_name: "😈 Null Space Skicka"
short_name: "?NSS"
macaddr: "\334Tu\341\301\274"
hw_model: PRIVATE_HW
role: ROUTER
YELLOW RTR 💨(!40d0cf5f) Misusage2(!d3def5ba)
1948393128 🔎
Import Time
4:21:50 AM - 08-29-2025
packet
from: 1087426399
to: 3554604474
channel: 8
decoded {
  portnum: NODEINFO_APP
  want_response: true
}
id: 1948393128
rx_time: 1756441310
rx_snr: -4.25
hop_limit: 1
rx_rssi: -96
hop_start: 3
payload
id: "!40d0cf5f"
long_name: "YELLOW RTR 💨"
short_name: "YR?"
macaddr: "\337>@\320\317_"
hw_model: RAK4631
is_licensed: true
role: ROUTER
The Perch(!706a8e54) Misusage2(!d3def5ba)
1995725568 🔎
Import Time
1:48:25 AM - 08-29-2025
packet
from: 1886031444
to: 3554604474
channel: 8
decoded {
  portnum: NODEINFO_APP
  request_id: 616390261
}
id: 1995725568
rx_time: 1756432104
rx_snr: -10.75
hop_limit: 1
rx_rssi: -99
hop_start: 3
payload
id: "!706a8e54"
long_name: "The Perch"
short_name: "PRCH"
macaddr: "\341<pj\216T"
hw_model: RAK4631
role: ROUTER_CLIENT
The Perch(!706a8e54) Misusage2(!d3def5ba)
1994558492 🔎
Import Time
2:30:34 AM - 08-23-2025
packet
from: 1886031444
to: 3554604474
channel: 8
decoded {
  portnum: NODEINFO_APP
  want_response: true
}
id: 1994558492
rx_time: 1755916234
rx_snr: -9.5
hop_limit: 1
rx_rssi: -98
hop_start: 3
payload
id: "!706a8e54"
long_name: "The Perch"
short_name: "PRCH"
macaddr: "\341<pj\216T"
hw_model: RAK4631
role: ROUTER_CLIENT
Misusage2(!d3def5ba) (^all)
314149877 🔎
Import Time
2:30:26 AM - 08-23-2025
packet
from: 3554604474
to: 4294967295
channel: 8
decoded {
  portnum: TELEMETRY_APP
  bitfield: 0
}
id: 314149877
rx_time: 1755916225
rx_snr: -19.25
rx_rssi: -92
hop_start: 3
relay_node: 163
payload
time: 1755916217
device_metrics {
  battery_level: 94
  voltage: 4.116
  channel_utilization: 21.386667
  air_util_tx: 4.5002503
  uptime_seconds: 4930
}
KM6MCI NODE 16 🦜(!dccf6044) Misusage2(!d3def5ba)
976438144 🔎
Import Time
12:49:58 AM - 08-23-2025
packet
from: 3704578116
to: 3554604474
channel: 8
decoded {
  portnum: NODEINFO_APP
  want_response: true
}
id: 976438144
rx_time: 1755910197
rx_snr: 2.5
hop_limit: 6
rx_rssi: -86
hop_start: 6
payload
id: "!dccf6044"
long_name: "KM6MCI NODE 16 🦜"
short_name: "ROOF"
macaddr: "\304\366\334\317`D"
hw_model: RAK4631
Misusage2(!d3def5ba) (^all)
761346671 🔎
Import Time
12:49:56 AM - 08-23-2025
packet
from: 3554604474
to: 4294967295
channel: 8
decoded {
  portnum: TEXT_MESSAGE_APP
}
id: 761346671
rx_time: 1755910195
rx_snr: -2.25
rx_rssi: -92
hop_start: 3
payload
Test. First time using LoRa
Misusage2(!d3def5ba) (^all)
576307132 🔎
Import Time
12:37:16 AM - 08-23-2025
packet
from: 3554604474
to: 4294967295
channel: 8
decoded {
  portnum: TELEMETRY_APP
}
id: 576307132
rx_time: 1755909435
rx_snr: -13.0
rx_rssi: -94
hop_start: 3
payload
time: 1755909412
device_metrics {
  battery_level: 101
  voltage: 4.058
  channel_utilization: 18.331667
  air_util_tx: 0.094444446
  uptime_seconds: 65
}

Visit Meshview on Github.